发布于2025-06-27 | 浏览量:179
返回列表

DP 钢在双轴机械载荷条件下的磁弹性行为 ——磁致伸缩的等效应力

概要

        先进高强度钢(AHSS)凭借高强度与高延展性成为汽车工业的理想材料,其优异性能源于铁素体、马氏体及残余奥氏体组成的多相微观结构。然而,制造过程中温度、时间等参数的微小波动会显著改变微观结构,进而影响机械性能。为实现在线质量控制,需采用无损磁性检测技术,但AHSS的磁性行为对化学成分、晶粒尺寸及应力状态高度敏感。尤其在实际生产中,钢板常承受多轴应力,而磁性响应与机械应力的强耦合可能导致检测偏差(如磁导率偏移或假阳性),需通过精准建模与多轴实验校准以消除干扰。《Journal of Magnetism and Magnetic Materials》期刊发布了巴黎萨克雷机械实验室的关于采用在线无损磁监测技术对受多轴应力作用的钢进行质量控制的成果。该研究通过改进的双轴加载实验装置,探究双相钢(DP钢)在双轴应力作用下的磁致伸缩行为,并提出等效应力模型以量化多轴应力对磁致伸缩的影响。实验采用十字形试样,结合磁性与力学同步测量技术,首次实现了双轴应力下无磁滞与循环磁致伸缩的定量分析。

 图片1.png

试验方法:

        (1)加载系统:采用ASTREE三轴液压试验机,配备四轴独立加载单元(最大载荷±100 kN/轴),通过十字形夹具实现试样中心区域双轴应力状态(图1)。

图片2.png

        (2)试样设计:试样由260 mm × 260 mm DP钢薄板(厚度1.24 mm)加工成十字形,两片粘合以提高抗屈曲能力。EBSD分析显示材料晶体取向接近各向同性(极图强度≤2.4倍随机分布),力学与磁性能差异≤30 MPa。

        (3)磁性测量模块:双软铁磁轭结构(各100匝线圈),磁场强度可达14,000 A/m。

图片3.png

图片4.png

结果与讨论

         在应力平面中绘制并插值剩余磁化强度和矫顽场(记录了25种加载状态,并在5个磁循环中取平均值),可以更直观地了解双轴应力对磁滞回线的影响。等值线与磁化率的等值线不同。双拉伸状态导致剩余磁化强度最高。当在磁测量方向施加压缩时,其值最低,等值线相对垂直。相反,矫顽场的变化突出了垂直于磁测量方向的应力的显著影响。矫顽场梯度最大的方向沿剪切轴σ1=−σ2,而等双轴σ1=σ2导致的变化要小得多。即使剩磁感应强度和矫顽力的变化方式不同,但矫顽力的变化幅度更大,这意味着在初步近似中,该值控制着磁化周期的大小,从而控制着能量损耗。

图片4png.png 

            模型构建:基于多尺度磁弹性理论,定义等效应力σₑq,使单轴σₑq与多轴应力产生相同磁致伸缩:

图片16.png


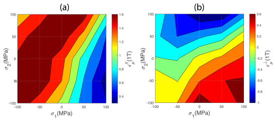
            模型预测与实测结果定性一致,最大磁致伸缩区域沿斜率1-2的应力轴分布:

图片5.png

全文总结

        本研究聚焦于双轴应力对铁磁材料磁行为的耦合效应及其建模优化。针对先进高强度钢(AHSS)无损检测中应力与微观结构信号混淆的难题,提出基于双轴磁弹性模型的校正策略。通过改进实验装置(提升磁场均匀性与信号振幅),首次实现双轴应力下磁滞与磁致伸缩行为的同步高精度测量,验证了应力对矫顽力场、剩磁感应及平行/垂直磁致伸缩的显著影响(如双轴拉伸压缩组合可致磁致伸缩偏移达300 ppm)。进一步提出非唯一的等效应力解析模型,揭示其依赖磁致伸缩张量分量及磁场强度的特性,并推导出与实验定性一致的线性化公式,为磁致伸缩装置设计(如多轴应力组合优化)及磁场强度选择提供理论指导。模型适用性限于低中磁场范围,需结合磁化旋转机制以扩展至剪切应力分析。