发布于2025-12-05 | 浏览量:84
返回列表

双轴压缩下 CFRP 层合板屈曲行为研究——基于十字试样


研究背景


            在航空航天、汽车等运输行业追求“轻量化 + 高强度”的浪潮中,碳纤维增强聚合物(CFRP)层合板凭借优异性能成为核心材料。但这些材料在服役中常面临双向压缩载荷(如水下压力、结构承重),容易发生屈曲(变形失稳),尤其是具有强弯曲 - 扭转耦合的层合板,其失效机制更为复杂。

            随着 CFRP 层合板在主承力结构中的广泛应用,其在多轴载荷下的稳定性成为工程设计的核心痛点:实际服役中,层合板常承受双向压缩载荷,易引发几何失稳(屈曲),严重影响结构安全;传统实验多聚焦单轴压缩,双轴压缩实验因试样设计、边界条件控制难度大,相关数据极度匮乏;对于 [∓45] S 这类弯曲 - 扭转耦合强的层合板,屈曲行为更复杂,现有理论难以精准预测。此前虽有十字形试样用于双轴测试的尝试,但针对压缩 - 压缩(CC)载荷下的稳定性分析,尤其是小尺寸试样能否准确反映屈曲模式,仍是未解之谜。

            2024年,西班牙卡斯蒂利亚-拉曼恰大学M.C. Serna Moreno团队在《Composites Part B》发表相关研究。实验以具有显著弯扭耦合特性的 [∓45] S CFRP 层合板为研究对象,其十字形试件的中心测试区域边界条件接近固支方形板,通过调整试件臂与中心区域的厚度比(H/h=4)实现边界约束控制。测试采用双轴防屈曲夹具抑制试件臂失稳,结合 LaVision Strain-Master 立体数字图像相关(DIC)系统与应变花,同步采集中心区域的三维挠度面数据及局部应变信息,同时适配强度折减法估算双轴压缩临界应力。该研究首次通过实验验证了十字形试样用于双轴压缩下 CFRP 层合板屈曲分析的有效性,成功捕捉到各向异性层合板的 3D 屈曲模式,为复杂应力状态下的结构设计提供了关键实验依据。

1.png


材料及试验


1.材料与试样设计

            测试材料:试验采用∓45°对称角铺层 CFRP 层合板(预浸料 M21E/34%/UD268/IMA-12K),单层厚度 0.25 mm,其面内主方向弹性与强度参数如表 1 所示:

表1: 平面内主材料方向的平均弹性性质

2.png

            十字形试样臂部与中心区域厚度比 H/h=4(臂部 [∓45]4S 铺层、厚度 4 mm;中心 [∓45] S 铺层、厚度 1 mm),臂部设双圆角过渡并缩短长度以抑制失稳,粘贴 3 mm 厚准各向同性玻璃 / 环氧树脂端板(Ee≈6.76 GPa),内角 45°倒角防挤压。试样经手糊制备 300 mm×300 mm 板坯,固化后数控铣削成型。

3.jpg

图1 :十字形试样的几何形状和尺寸

2.实验设备与测试方法

            加载设备:机电式多轴试验机,四组同步执行器施加等双轴压缩载荷(加载速率 20N/s);搭配十字形防屈曲夹具,限制试样臂的面外位移,确保屈曲仅发生在中心测试区域;

            观测技术:采用=LaVision立体 DIC 系统(3D 全场位移 / 应变测量)+ 应变片花,同步采集中心区域的变形数据,分辨率达 3.45μm / 像素。

4.jpg

图 2 (a) 双轴防屈曲夹具的拆解部件 [24,25]:蓝色为十字形板,黄色为 L 型支撑,紫色为其底座;(b) 压缩 - 压缩(CC)测试的实验装置。


3. 结果与讨论


1.应力-应变响应

            所有试样均在中心双轴受压区域失稳,失效模式为平行纤维的基体开裂及屈曲扭结带,形态一致,但应力 - 应变参数因制造差异和加载不对称存在离散性。

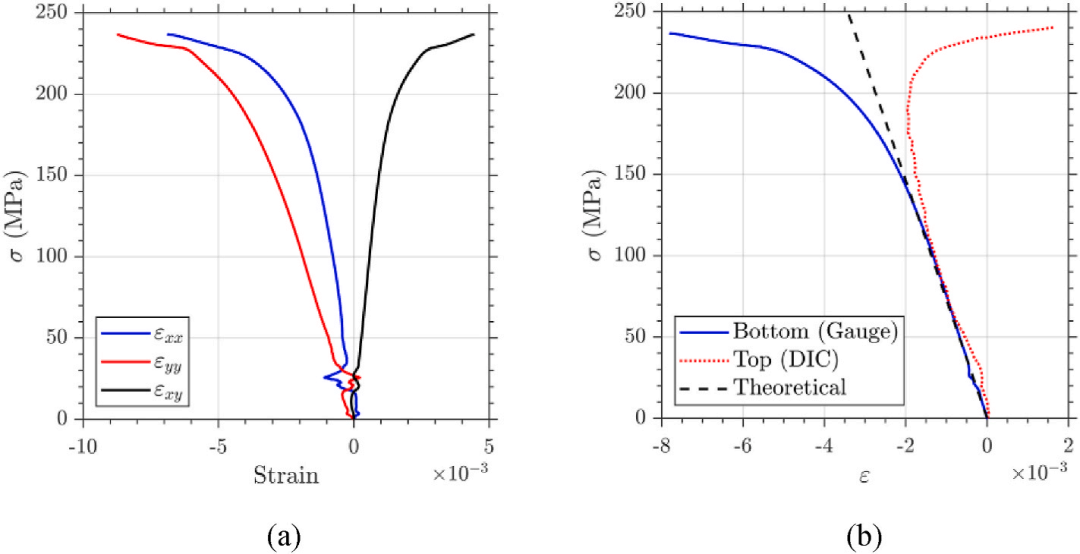
[∓45] S 铺层层片级局部剪切应变导致 x、y 向应变测量值有差异,但相邻层片剪切效应相互补偿,全局剪切应变为零,故采用二者平均值分析。应力 - 应变曲线显示,线性阶段表观双轴刚度与经典层合板理论(CLPT)估算值吻合;应力达到临界值时,试样上下表面应变分叉,标志失稳起始,响应模式由双轴压缩驱动转为弯曲 - 扭转力矩驱动。

            臂部应力未达伪延性变形临界水平,试验后无几何变化或纤维取向调整,证实中心区域非线性响应不受臂部影响。理想状态下屈曲前应无挠度,但实验加载初期即出现挠度,推测与初始几何缺陷、加载不对称及执行器初始位移差异相关,后续需优化位移控制策略。

5.png

图3:[∓45] S 构型(层合板)承受压缩 - 压缩(CC)测试时的应力 - 应变响应:(a) 底层铺层处通过应变片花测量得到的局部应变;(b) 通过数字图像相关(DIC)技术和应变片测量得到的中心区域两侧的全局双轴应变。

6.png

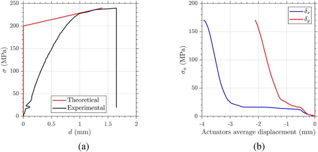
图4: (a) 双轴加载区域内,中心应力随最大挠度的变化规律;(b) 试样臂上的施加应力(式(3))随 x 向和 y 向执行器平均位移的变化规律


2.分叉起始时的屈曲模式评估

            借助 3D 数字图像相关(DIC)技术,成功捕获小尺寸中心区域 3D 挠度面及 2D 投影,实现各向异性层合板十字形试样屈曲模式首次可视化观测。实验测得的屈曲模式 2D 投影与数值模拟结果定性高度一致,均呈现特征椭圆形态,印证了数值模型的可靠性。

7.jpg

图5:双轴加载下 [∓45] S 构型层合板的面外位移,(a)3D 数字图像相关(DIC)偏转表面;(b)偏转表面的 2D DIC 投影;(c)数值模拟估算屈曲模式的 2D 投影;(d)偏转表面解析法计算结果的 2D 投影;

            利用椭圆长轴与短轴半波长比值,计算得出扭转曲率与弯曲曲率的比例系数,量化了 [∓45] S 铺层的强弯扭耦合特性。结合 CLPT 力矩刚度矩阵推导,扭转力矩与弯曲力矩同样满足该比例关系,揭示了双轴压缩下的内在力学耦合规律。屈曲模式取向显示,椭圆长轴与外层纤维方向一致,外层 ply 同时承受最大正应力与剪切应力,其叠加效应使基体方向易发生局部变形,成为屈曲起始关键区域,与最终失效模式匹配。

8.jpg

图6:(a)实验测得的偏转表面长轴方向、(b)短轴方向上,归一化挠度 w/d 随坐标 ρ 的变化;其中标注了波长 2A 和 2B 的代表性示意图。


结论:


            1. 本研究以具有强弯扭耦合特性的[∓45]S CFRP层合板为对象,验证了十字形试样结合双轴防屈曲夹具在 coupon 级双轴压缩稳定性分析中的适用性。试验通过优化试样臂与中心区域厚度比(H/h=4),成功将中心区域边界条件近似为四边固支,且证实中心区域的非线性响应与臂部无关,不受臂部伪延性效应干扰。

            2. 借助3D DIC技术首次观测到各向异性层合板十字形试样中心区域的3D挠度面,其屈曲模式与数值模拟结果定性一致。通过屈曲模式的几何特征量化了弯扭耦合关系,扭转曲率与弯曲曲率、扭转力矩与弯曲力矩的比例系数均为0.81,为层合板双轴压缩下的力学行为分析提供了关键依据。

            3. 适配金属板强度折减法估算出双轴压缩临界应力约为123.74 MPa,与实验实测值(约120 MPa)高度吻合,证明该方法在简化材料行为假设下可有效提供临界应力参考值,但准确性依赖于极限应力的合理确定。

            4.十字形试样的优势在于载荷施加远离中心测试区域,减少了应力集中与夹持损伤风险,且通过调整厚度比可灵活模拟不同边界条件。但实验结果存在一定离散性,源于试样制造几何差异、边界条件不完善及加载对准偏差,未来需进一步优化试样加工精度与加载控制策略。

            5.本研究建立的实验方法与数据分析框架,为小尺寸复合材料层合板双轴压缩稳定性研究提供了可行路径,其结果可为交通、航空航天等领域轻量化结构的抗屈曲设计提供技术支撑。

 

标题:M.C. Serna Moreno, S. Horta Muñoz,Experimental evaluation of the use of cruciform specimens for biaxial stability analysis,Composites Part B: Engineering,Volume 286,2024,111764

原文链接:https://doi.org/10.1016/j.compositesb.2024.111764